In the previous article, I presented you a whistleblower account of how the University of Bologna in Italy dealt with evidence of data manipulation in the papers by Elisabetta Ciani. The lab uses mouse models of neurological genetic disorders, in particular CDKL5 deficiency. In order to make the results fit, experimental data gets manipulated or fabricated, in Photoshop or Excel. The university decided to suppress the evidence of research misconduct due to heavy financial conflict of interests. Now, after Ciani suffered two retractions in Journal of Biological Chemistry (JBC, here and here), with many more of her papers flagged on PubPeer for data forgery, the Bologna rector might have betted on the wrong horse.
One paper has been found particularly badly manipulated, Ciani was even ordered by the investigators to redo the experiments. In which she succeeded, utterly unsupervised while refusing outright to share any of the raw data even when ordered to. Good enough for the rector, and as it turned out, good enough for the journal Human Molecular Genetics (HMG) and its publisher Oxford University Press (OUP).

The whistleblower alerted HMG with even more evidence of data fakery. For example, some results were secretly altered by the corresponding author after the rejection in a different journal. As bad luck had it, the whistleblower met with a nightmare of the Editor-in-Chief: Dame Kay Davies, Commander of the Order of The British Empire and Oxford University professor (read more here). Davies has a history of covering up research fraud by HMG authors, and recently she progressed onto covering up data manipulation in her own papers.

For example, on evidence of clear image reuse in her lab’s just year-old publication Kennedy et al 2018, Davies commented:
“The highlighted images originate from different mice. The very similar patterns of muscle fibres highlighted must therefore have arisen by chance.”
As malicious chance has it, there are other Davies’ papers with problematic data. Regardless of who falsified data originally, it is Davies herself who now refuses to check the original files and instead seeks to deny the problems with phony explanations. Such behaviour alone was previously defined by other British scientists as research misconduct.
So how did Davies react to the evidence sent to her by the whistleblower? First, Davies forwarded the entire communication to Ciani herself, basically ratting out the whistleblower to her boss whom she reported for data manipulation. Then, Davies announced to do sod all about the evidence because the whistleblower was the only author to complain. In that regard, the Oxford academic and English upper class Dame Kay was not even able to express herself in proper English.

The whistleblower did not give up and involved the publisher OUP. Who then told her that they received raw data from Ciani, which convinced them to not even correct the paper. When asked to share that raw data, the publisher refused, while insisting that the responsibility for the correctness of raw data lies with the whistleblower as coauthor. Apparently, there was also some secret “personal communication” between Ciani and Davies, which was probably Ciani accusing the whistleblower of fraud herself, because this is what they all do in such situations. No wonder the publisher refused to share it with the whistleblower, but they did forward her own emails to Ciani. Rats must be drowned, you know.
The Committee on Publication Ethics (COPE) got involved. Eventually OUP surrendered to the whistleblower two bizarre pdf documents purporting to be raw data, and concluded the communication by refusing to remove her name from that paper, because other coauthors did not agree.
And now, the whistleblower’s account of that travesty. I additionally illustrate it with some PubPeer evidence of data falsification in Ciani’s other papers.

Dear Dr Johnson
In December 2016, I contacted the editorial manager of the journal Human Molecular Genetics (HMG), Helen J. Johnson:
The letter’s aim was to notify the editors about the doubts raised by four researchers from Ciani’s lab at University of Bologna regarding an article authored by her senior post-doc, now assistant professor (Trazzi et al. 2016). Both the first and the last author have a record of publications flagged by the PubPeer community. I requested retraction of the publication, providing a list of unexplained manipulations of the data, such as:
- reuse of an already published result of a behavioural experiment serving as a control in different spatially and temporally independent experiments
- a plot where some data point had been changed without an explanation and without consent of other co-authors, after proofreading
- discrepancies in the materials and methods section
- non-matching animal numbers
- mistakenly described plot – a severe error, intentional or not, entirely changing one of the main conclusions of the study
- poorly justified choice of statistical analyses
Similar criticism was also raised by the reviewers of the Acta Neuropathologica, a journal that the first version of the manuscript was submitted to and rejected (entire review to be found here). The reviewers pointed out, for example (highlights mine):
“General comment. The different experiments include a very small number of animals, the cell culture experiments (based on neural precursors and primary hippocampal neurons) seem to include technical but not biological replicates, and the statistical analysis is not properly presented in all the experiments (df error/residuals, F, etc, see for example EJN, 2008, 28:2363). Thus, results must be considered preliminary. Moreover, the discussion overstates the findings: HDAC inhibition restores/ameliorates pathological neuronal phenotype in a number of neurodevelopmental and neurodegeneration cell and animal model.”
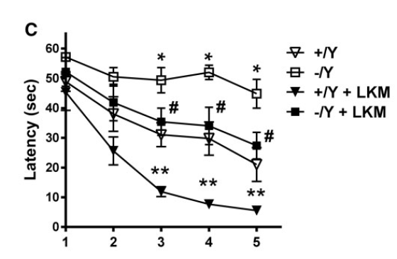
Importantly, the reviewers of Acta Neuropathologica pointed out that a description of the Morris Water Maze (MWM) results did not correspond to the relevant figure:
“In the behavioral studies the most important effects are detected in the MWM and the passive avoidance. However there are several problems with the MWM. First, there is no cued session, and thus the authors cannot discard motor or motivational problems. Also they state that >>Cdkl5 +/Y learned to find the platform by the 2nd day<<. However, in the plot of the latency the second day the barely changed their execution, and in fact it is not until the forth day that their latency becomes clearly reduced. Instead the slope of the learning curve is a bit steeper in the knockout mice. This means that in fact the learning differences between genotypes appear at day four. Also, the authors state >>No difference in swimming speed or distance travel between genotypes was observed.<< The authors have to provide these data. Since the latency is a function of distance and speed either of those should have changed. This is especially relevant to discern possible motor or motivational effects of the treatment.“
After the paper was rejected from Acta Neuropathologica, only 3 days later it was resubmitted to HMG journal with the same figure description and interpretation. What was modified was the figure itself, however no additional experiments were run to support the change of data points. Moreover, the co-authors of the paper were not notified about this manipulation and they had no chance to approve it.


Dear Prof Davies
All these problems were reported to the editor of HMG a few months after the publication. Unfortunately, the case was assigned to Professor Dame Kay Davies, who has an impressive record of problematic research herself, and her answer was as follows:
“Thank you for your letter. When signing as co-author you declared that you had seen the raw data and we accepted the paper on that basis. We cannot retract the paper on your current evidence without your writing to the senior author, copying us in and requesting a response. We can then take this up with the other authors who might also like to be copied as this is collective responsibility. The first action therefore is to give the senior author the opportunity to respond. If we get no action, we contact the institution as it is their responsibility.”
Taking into account my professional dependency on the senior author, such a procedure was problematic as it would have exposed my identity. Despite the obvious inconvenience of this situation, I followed Davies’ suggestion and sent a letter to the senior author, copying the journal. Four days later, a one sentence answer signed by Helen J. Johnson arrived:
“We have now received detailed statistical analysis from the authors and are satisfied that the data are correct.”
What exactly was meant by “detailed statistical analysis”? Did it address the issues I listed? What was the decision process behind verification of the correctness of the data? Who made the decision? Ms Johnson did not bother to explain any of these matters. Later on, Davies added:
“We were sent raw data from the author and no other author has complained.”
As none of the allegations was directly discussed and only a vague statement was given by the journal, I asked for a more detailed explanation of the basis on which the case was closed. Davies only replied that my whole signed correspondence was forwarded to Ciani:
“Your whole letter was fed back to the author.”
This was a completely incomprehensible action and an obvious breach of any common sense in professional communication (several months later the journal apologized for it). The entire correspondence with Kay Davies can be found here.

Dear Iratxe
As that seemed to be the end of the conversation with Kay Davies, in early January 2017 I contacted the Committee on Publication Ethics (COPE, relevant correspondence is here) which the Oxford University Press (OUP), HMG publisher, is a proud member of. COPE agreed to take up the case. Over one month later, the COPE representative contacted Allen Stevens, a senior publisher at OUP and forwarded him the doubts I raised. Only after several reminders by COPE representative Iratxe Puebla, in the end of March, yet another senior publisher at OUP, Jennifer Boyd, answered:

“I believe that the journal did follow the appropriate COPE procedure in investigating this complaint. The editors reviewed the original data from the study and were satisfied that the conclusions of the paper were valid. I am writing now to confirm the steps that were taken during this process, and I set them out below:
13th December – you contacted the journal with a letter detailing your concerns about the manuscript and requesting that it be retracted.
14th December – Kay Davies, one of the Editors in Chief, acknowledged receipt of the complaint, stated that we would contact the senior author to raise these issues, and that we could not retract without first getting a response.
14th December – the editorial office contacted the senior author, Elisabetta Ciani, raising these concerns.
16th December – Elisabetta Ciani, the senior author of the paper, responded in detail to the complaints and including the full data for scrutiny.
19th December – following review of the data provided by Professor Ciani, the editors were satisfied that the paper did not need to be retracted, and the editorial office responded to you that the original data had been found to be satisfactory and the case was considered closed.
19th December – you responded expressing dissatisfaction with the conclusion and asking for a more detailed explanation.
19th December – Kay Davies responded reiterating that no grounds for retraction were found.

8th January – you contacted the other co-EiCs of HMG with the same complaint and asking for more information. The editorial office responds reiterating our message from 19th December.
I hope I can assure you that we do take all complaints and concerns very seriously, and we did fully investigate your concern. However we did not agree that there was a question of validity over the published results, and therefore we did not retract the paper. Please do let me know if you have any questions about this.”
Did this reply look like addressing any of the raised concerns? Reusing of the control group results in independent experiments, discrepancies in materials and methods, non-matching animal numbers, a figure changed without consent of other co-authors, erroneous plot? No, it didn’t. Again, I asked for clarification of the following issues, copying the COPE representative, and demanded to see Ciani’s reply, basing on which the Journal made the decision to close the issue. I also informed the publisher about the research misconduct investigation at University of Bologna.
After yet another 3 weeks, Jennifer Boyd, replied, but her answer again did not address the concerns I raised. She then wrote on 20 April 2017:
“the materials we received from the corresponding author included both original data and personal correspondence between the Editor of the journal and the author. I do not believe it would be appropriate to share this information.”
I replied and suggested leaving out the “personal correspondence” and sharing with me the “original data” which was sent to the Journal by the senior author. I also offered to provide to the publisher the original ethovision files, movies and Excel/ Graphpad files which were in my possession. I also asked Ms Boyd to comment on the self plagiarism in the articles published by the laboratory in the HMG and in the Neurobiol Dis Journal in 2015, where two graphs to see have been partially cloned.

Boyd’s email to me contained also this:
“On submission of the final paper to HMG all co-authors are notified, and given a chance to raise an objection to the paper. It is the expectation that all co-authors will have approved the final version of the paper and it is their responsibility to do that before the final version is submitted, or to object at that stage. For that reason, we suggest that disputes between authors need to be resolved before the paper is submitted to the journal. The paper was published in July and we received your complaint in December, long after the revised version was submitted. If you had concerns about the content of the paper we would have expected to receive those concerns at submission or revision. The first reaction of the editor in this case was to point out that as a co-author you should have seen and approved the paper at submission/revision and you were therefore advised to take this up with your colleagues”.
Indeed, I was told already several times by the journal that I should have brought my doubts up prior to the publication. We, of course, did discuss the paper prior to the submission. But some changes were introduced by the corresponding author Ciani after her coauthors proofread the paper, other discrepancies I found after the manuscript was published and I notified the journal about them immediately. The concept of correction and retraction was introduced exactly for situations like this.
It turned out, Ms Boyd had no idea of the misconduct investigation in Bologna, which by then already issued its final report:
“I am sorry that this caused escalation of the issues between yourself and Prof. Ciani, that was certainly not our intention. Your disagreement with Prof. Ciani is beyond our remit as a journal – I cannot advise on this with any authority but I would suggest exploring your institution’s own complaints procedure.
On the point raised in your most recent email below, I am not aware of any contact from the University of Bologna regarding this investigation.“
I supplied Ms Boyd with the contacts at University of Bologna. In March 2017 an internal commission stated in its final report that “scientifically unacceptable practices” had been taking place in the laboratory, particularly to obtain results published in the mentioned article (read here). The commission condemned the practice of using results from a control experiment as a point of reference to other experiments run several months after.


After yet another 3 weeks, a COPE representative sent a reminder to the journal, reiterating the right to see the senior author’s answer to the allegations, that had never been revealed by the publisher. COPE representative wrote:
“We would therefore be grateful if Human Molecular Genetics could provide some additional information regarding the response received by the corresponding author and the evaluation of that information by the journal. We view personal correspondence as separate from the follow up on scientific concerns about the content of the publication, and thus, the summary of the follow up can be focused on the scientific queries raised and the response that the corresponding author provided to the questions on scientific matters.
Whistleblower indicates that an institutional investigation has taken place so it may be relevant for the editor to check on the status and outcome of such investigation.”
Dear Mrs Boyd
Despite several reminders sent by the COPE representative, for the next six weeks there was no answer from the side of the UOP. Therefore, I decided to demand removal of my co-authorship from the dubious paper. On the 31st of May, the senior publisher at OUP, Jennifer Boyd, finally spoke:
“I am still waiting for a response from the University of Bologna regarding an investigation. I must defer to the judgement of the University in taking any action on the paper in question. In the meantime, I have attached here as requested the data sent by the corresponding author, who also explained that regarding the Y maze data, two mice were left out because genotyping did not provide clear results.
For removal of your name from the paper we will need to inform the other authors of the paper of the change and publish a correction. I will initiate this process now. “
So, some explanations started to appear. How disappointing though were the materials on the basis of which the HMG decided to dismiss the allegations. Below are some screenshots from the “senior author’s answer” that the HMG jurnal accepted as addressing the long list of issues I raised, and that waited for over five months to be revealed by the OUP. Entire files are available here:

“The senior author’s answer” turned out to be a bunch of poorly-labelled tables and plots difficult to understand, as the titles, axes labels and units were missing. Not a single word of explanation was accompanying these messy files. Interestingly enough, none of the plots seem to match any of those published in the HMG article in Figures 10A-D. If the provided analyses indeed represent the experiments performed for the publication in HMG, it is a direct proof for a manipulation of the data resulting in the published plots not matching the analyses performed. All these would be easier to understand if the raw data was presented along with the analyses, unfortunately it wasn’t.
To sum up, the files presented by the senior author did not at all refer to the raised doubts, including the most severe one regarding reuse of the control group results in independent experiments already published elsewhere, and the lack of the co-authors consent for unjustified plot manipulation. Yet based upon this material the editors of HMG took the decision “that the data are correct”. The content of the files was so obscure that it was hardly understandable even to the co-author of the study, so how could it be found satisfactory to the journal to dismiss all the allegations? No analysis or interpretation of this vague material was provided by the journal. In May 2017, I made another attempt to obtain a justification of the journal’s decision, asking if these were indeed the only files they received. Meanwhile, I was waiting to have my name removed as co-author of that paper. In the last email sent on behalf of HMG in July 2017, Jennifer Boyd wrote:
“There have been several objections from the co-authors to the proposed change in authorship. In addition I have had a response from the Rector’s office at the University of Bologna confirming that the interim results of their investigation show no signs of misconduct, and that they are waiting for the outcome of one experiment which will conclude the investigation and indicate whether any steps to correct the publication record are necessary.”

Confused Ms Boyd asked COPE what to do next but they apparently did not know either, as COPE re-activated the case only half a year later (in December 2017) and urged HMG to send an update regarding their decision on the paper retraction or authors list modification. In the meantime (September 2017), the university commission investigating the case produced a second report (read here). It stated that Ciani repeated the experiment (this time control and experimental groups were studied simultaneously, she claimed) and provided satisfactory proof of validity of her research. The rector sent this version of the report to HMG (not mentioning the previous report) and in March 2018 Jennifer Boyd communicated:
“I have received the report from the Rector’s office, which confirms the validity of the experiments in the HMG paper. We are therefore not intending to amend the publication record. ”
So this was it. We have to believe that a scientist caught on scientific misconduct repeated an experiment, this time following the ethics and scientific rigour. The journal did not address the long list of breaches in the mentioned publication, or the fact that some changes were made after proofreading, without coauthors’ knowledge and consent. Neither HMG nor the COPE representative have ever written to me Bologna Fraud and Oxford again. The whole correspondence between the UOP and COPE representative can be found here.


Donate!
If you are interested to support my work, you can leave here a small tip of $5. Or several of small tips, just increase the amount as you like (2x=€10; 5x=€25). Your generous patronage of my journalism will be most appreciated!
€5.00


Pingback: Bologna mice guilty of research misconduct – For Better Science
“Editor-in-Chief: Dame Kay Davies, Commander of the Order of The British Empire and Oxford University professor (read more here). Davies has a history of covering up research fraud by HMG authors…”
Hum Mol Genet. 2003 May 15;12(10):1087-99.
Restoration of dystrophin expression in mdx muscle cells by chimeraplast-mediated exon skipping.
Bertoni C1, Lau C, Rando TA.
Author information
1
Department of Neurology and Neurological Sciences, Stanford University School of Medicine, Stanford, CA 94305-5235, USA.
Figure 2B. Much more similar than you would expect.
https://pubpeer.com/publications/67DC885563C5A31221C286B05D94E1#3
LikeLike
Pingback: AACR conjures undead Count Fakula Michael Karin – For Better Science
A telling question:
“Since Oxford University Press is a department of the University of Oxford, does this case not provide a perfect defence for any undergraduate, post-graduate student or member of staff being investigated for plagiarism to claim that data falsification and plagiarism is perfectly acceptable to the university and its publisher?”
LikeLike
Pingback: The Ballad of Claudio Hetz – For Better Science
Pingback: Victims as perpetrators – For Better Science
Pingback: Attualità del "Bologna leak" - Ocasapiens - Blog - Repubblica.it
Pingback: The English science supremacy – For Better Science
From: claire Francis claire.francis1492@gmail.com
Sent: 05 December 2021 00:03
To: HMG journal hmgjournal@dpag.ox.ac.uk
Cc: HMG.editorialoffice HMG.editorialoffice@oup.com
Subject: Problematic data Hum Mol Genet . 2010 Jul 1;19(13):2594-605. doi: 10.1093/hmg/ddq145. Epub 2010 Apr 12.
Hum Mol Genet . 2010 Jul 1;19(13):2594-605. doi: 10.1093/hmg/ddq145. Epub 2010 Apr 12.
Interleukin-1 alpha blockade prevents hyperkeratosis in an in vitro model of lamellar ichthyosis
Ryan F L O’Shaughnessy 1, Ishaan Choudhary, John I Harper
Affiliation
1
Department of Immunobiology and Dermatology, UCL Institute of Child Health, and Department of Paediatric Dermatology, Great Ormond Street Hospital for Sick Children, London, UK. r.oshaughnessy@ich.ucl.ac.uk
PMID: 20385541 DOI: 10.1093/hmg/ddq145
Problematic data figures 4B and 7B. Much more similar and different than expected.
On Mon, Dec 6, 2021 at 4:13 PM HMG.editorialoffice HMG.editorialoffice@oup.com wrote:
Dear Claire
Thank you for your email.
As your query is in relation to the authors’ data and/or findings, we would anticipate that readers would reach out to the paper’s corresponding author with any questions on the actual scientific content.
Thank you.
Best wishes
Kirsty
Kirsty Vance
Managing Editor
Human Molecular Geneticshmg.editorialoffice@oup.com
From: claire Francis claire.francis1492@gmail.com
Date: Mon, Dec 6, 2021 at 8:29 PM
Subject: HMG going against COPE guidelines: Problematic data Hum Mol Genet . 2010 Jul 1;19(13):2594-605. doi: 10.1093/hmg/ddq145. Epub 2010 Apr 12.
To: HMG.editorialoffice HMG.editorialoffice@oup.com
Cc: Linda Gough cope_administrator@publicationethics.org, Fiona Godlee fgodlee@bmj.com, Fiona Watt – UKRI MRC fiona.watt@mrc.ukri.org, ivan.pavlov@mrc.ukri.org
No, that is going against the COPE guidelines. That is exactly not what a journal should advise.
See: Dealing with image manipulation in a published article (publicationethics.org)
“READER EXPRESSES SUSPICION OF IMAGE MANIPULATION
Your job.
Thank reader and state your plan to investigate. Consider getting a second opinion from another reviewer
Your job.
Contact author to explain your concerns but do not make direct accusations”
Are you so gormless that you cannot see how the data are problematic?
Do your job!
Do not obfuscate, or are you simply ignorant?
LikeLike
Pingback: Editors vs the Anonymous – For Better Science