Imagine being so rich that not you are employed as rector by the university, it is your university whom you give money to, from the inherited charity trust you preside over. If such a precious rector had over 40 of his publications flagged for what definitely looks like grossly manipulated data, it would be simply stupidly irresponsible for the university to actually investigate that. And if they really had to investigate, the only sensible solution is to find the entire blame with someone else.
This is basically the situation of David Latchman, Master of Birkbeck, professor of genetics at UCL and Commander of the Order of the British Empire. The scientist who was once again cleared of all suspicions of research misconduct, while his two subordinates took all the blame, for just 7 papers. Past and apparently even future evidence for all other dozens of papers Latchman co-authored was dismissed, which let my regular contributor Smut Clyde present some of it last month. Now Smut offers an extra serving of duplicated graphs of experimental kinetics, in a Latchman coda below.
Latchman is not your pedestrian scientist who does science as a job to earn a living. For the Master of Birkbeck is nephew of the late London property developer and philanthropist Maurice Wohl, who died childless. One can guess who is the likely heir to the immense wealth Maurice Wohl left, and indeed, Latchman is Chair of the over £100 Million-heavy Maurice Wohl Charitable Foundation, a charity which donates in no small part to healthcare and medical research in UK. Latchman’s own Birkbeck pays him a yearly salary of GBP 400k, one of the highest rector’s salaries in UK, yet the university received from Lathcman’s Wohl Foundation, according to these records between 2013 and 2016, over 5 Million British Pounds:
- in 2013 £ 1.3 Million
- in 2014 £ 1.3 Million
- in 2015 £ 1.268 Million
- in 2016 £ 1.284 Million
The 2017 report hasn’t been published yet. Elsewhere in UK, Cardiff University bent over backwards to whitewash a professor for a much smaller sum from a billionaire peddling Traditional Chinese Medicine as cancer cure.
Now if you were Birkbeck board of directors, which kind of result from a misconduct investigation would you insist on? Exactly, and UCL delivered, twice. Turned out Latchman’s long-gone subordinates Tiziano Scarabelli and Anastasis Stephanou did it stealthily behind his back, for over 15 years, even when they were not even in London.

It is not clear how much money UCL, who whitewashed Latchman already twice, received from the Wohl Foundation. UCL made Maurice Wohl (who died at the age 90 in 2007) a Honorary Fellow in 2000. Soon after, the benefactor built for UCL the Wohl Virion Centre, for the study of retroviruses. What came after, is a subject to my Freedom of Information (FOI) inquiry which UCL will soon predictably deny, as they have denied all my FOI inquiries until they eventually were made to answer at least one of them through clenched teeth.
And indeed, on 3 July, UCL rejected my humble request for the Latchman investigative report, and even for the names of the investigators. Hence, we shall be left in the dark as to why Professor Latchman has no responsibility for content of his own papers, why only 7 papers of 32 analysed were found to contain objectionable data, and who these wise people making such interesting decisions were. The refusal to answer the latter is truly peculiar, because, as the French case of Catherine Jessus showed, sometimes the scientist under misconduct investigation can be investigating herself, with a help from some very loyal friends. At least in French case, we saw the original report (awful and appalling as it was), but with UCL one might be tempted to hypothesise that both 2015 and 2017 Latchman investigations consisted of a couple of terse emails Latchman sent to UCL from his Wohl Foundation email address, to drive home the point.
This was the UCL’s reply to me, my own questions are in bold:
i. the investigative report on the alleged misconduct by Prof David Latchman
With regard to i. above, this information is held by UCL, but is exempt under Freedom of Information Act 2000 section 31(1)(g) by virtue of section 31(2)(b) – Law Enforcement.
Section 31(1) reads ‘Information which is not exempt information by virtue of section 30 is exempt information if its disclosure under this Act would, or would be likely to, prejudice – (g) the exercise by any public authority of its functions for any of the purposes specified in subsection (2)
Section 31(2)
The purposes referred to in subsection (1)(g) to (i) are: ‘(b) the purpose of ascertaining whether any person is responsible for any conduct which is improper…’
Section 31 is a prejudiced-based, qualified exemption, which means that consideration must be given to what harm could be caused by disclosing the requested information.
It is essential that the public has confidence in research conducted at UCL and that the highest standards of research integrity are maintained. We are committed to ensuring that research is conducted honestly, accurately and in accordance with professional standards. In addition, both Universities UK and the UK Research Integrity Office expect UCL to investigate all matters of alleged research misconduct and further we have responsibilities in relation to research funders to ensure that the research is conducted properly and any allegations of misconduct are investigated and managed appropriately. In our view while UCL is considering matters raised by an investigation the disclosure of any investigative report would prejudice the overall purpose of ascertaining whether any person is responsible for any research misconduct.
The public interest:
Section 31 is a qualified exemption and is subject to the application of a public interest test. We have therefore considered the public interest arguments, both in favour of and against disclosure.
UCL appreciates that there is an ongoing legitimate public interest in transparency and openness in general and a specific public interest in making sure that universities investigate allegations of research misconduct thoroughly and impartially in order to ensure that confidence is maintained in the research undertaken by such institutions. However, there is an additional public interest in safeguarding the ability of universities to investigate sensitive allegations of this nature and reach well-reasoned and fully informed conclusions without the risk that their detailed work could be disclosed whilst these matters remain open. Otherwise there is a risk that public trust in the overall operation of the research misconduct procedure is undermined.
Having weighed these arguments in the balance we have reached the conclusion that while UCL is still considering matters raised by the investigation the public interest in favour of withholding the information outweighs that in favour of disclosure.
ii. the names of the investigators behind that report
With regard to ii. above, this information is being withheld because it is exempt due to FOI section 40(2). Section 40(2) states:
‘Any information to which a request for information relates is also exempt information if—
(a) it constitutes personal data which do not fall within subsection (1), and
(b) either the first or the second condition below is satisfied
The first condition is—
(a) in a case where the information falls within any of paragraphs (a) to (d) of the definition of “data” in section 1(1) of the Data Protection Act 1998, that the disclosure of the information to a member of the public otherwise than under this Act would contravene—
(i) any of the data protection principles’
Section 40 exempts personal information about a ‘third party’ (someone other than the requester), if revealing it would breach the principles of the data protection legislation. It is the fairness provisions of data protection legislation that we are concerned with here. UCL takes the view that revealing the names of the investigators would be beyond their reasonable expectations and would therefore be unfair.
In this case the duty to confirm or deny does not arise as compliance with section 1(1)(a) would be likely to prejudice of Section 40(5)(b)(i):
(5)The duty to confirm or deny—
(a)does not arise in relation to information which is (or if it were held by the public authority would be) exempt information by virtue of subsection (1), and
(b)does not arise in relation to other information if or to the extent that either—
(i)the giving to a member of the public of the confirmation or denial that would have to be given to comply with section 1(1)(a) would (apart from this Act) contravene any of the data protection principles or section 10 of the Data Protection Act 1998 or would do so if the exemptions in section 33A(1) of that Act were disregarded
It is a bit strange, all this excessive fuss about privacy. This Guardian article from January 2017 suggests UCL might have delivered to Latchman the names and incriminating personal emails of his critics.
“Latchman has used data protection laws to request more than two years’ worth of emails from senior UCL scientists and administrators who may have mentioned him or his case in their communications”.
At UCL, privacy protection is granted and withdrawn strategically. In the end, it is all about who brings in the money, and who just costs it.
As a side note, this is how the Wohl Foundation describes its purpose:
“The Foundation continues to follow the example set by Maurice and Vivienne Wohl in their help and support of those, primarily in the Jewish community, in direct medical, financial, emotional or material need”
I think I tick all boxes, except the medical need, thanks G-d. Should I write a humble letter to the Wohl Foundation Chairman Professor Latchman asking him to help me pay the huge legal costs this little Jew incurred after being tried and sentenced by vengeful German judges, who decided that the lessons from Nuremberg trials do not apply to German doctors? Especially that my “Lügenpresse” reporting in question concerned a former honorary professor at UCL, a certain Paolo Macchiarini, whose deeds the Berlin high court even found time to specifically defend as right and righteous? Probably not, so please just donate below, if you can.
But now, over to Smut Clyde.
The Latchman Coda, by Smut Clyde
“Only the exhaustive can be truly interesting“, according to Thomas Mann. Our journey so far, extensive though it has been, fails Mann’s test for “Interesting”, as it barely touched on a whole series of studies on the extra-corporeal performance of rat hearts. An omission I shall now redress.
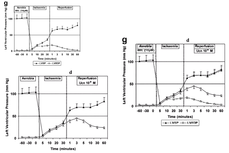
These studies (and plots) involved the removal of still-beating hearts from rats, partly to propitiate Wobbly John the Harvest God, and partly to keep them beating in a nutrient solution, there subjecting them to an interruption and restoration of the oxygen supply. The ischemic hearts may have been subsequently calcined and mingled with wine in an alchemical decoction which grants immortality to the partaker, but some information I cannot share. We have already met Refs. 3 and 5, in which the hearts were perfused beforehand or afterwards with minocycline and urocortin to reduce the damage, encouraging them to recover their function faster and more completely. Recall that the illustrations of ischemic damage in those papers all resolved on close inspection to a single image of a heart, variously retouched to show larger or smaller infarcts. A skeptical approach to the data is justified.

For the Figures of interest, the plots do not just illustrate the data, they are the data (averaged over a number of animals). Here are plots of “post-ischemic release of creatine phosphokinase (CPK)” from Figure 3 of Ref. 3, and also from Figure 2 of Scarabelli et al (2002) – a previously-unmentioned Ref. 24. The presence of CPK is a Bad Thing, and from superimposing the graphs it seems to be reduced equally by reperfusion-only urocortin and by ex-vivo minocycline. What are the odds?

Other graphs showed left-ventricular systolic and diastolic pressure in the autonomous hearts (sP and dP), where a large difference between the two is desirable, and recovery from ischemia is all about the sP returning to its previous high while dP drops back to its previous low. These are some examples of partial recoveries – Figure 2D from Ref. 3, 1(b) from Ref. 24, 5B from Townsend et al. (2004) (Ref. 25) and 2B from Scarabelli et al. (2009) (Ref. 26).

The different treatments have impressively similar results; in fact the first two dP functions are identical. What are the odds? In case you were wondering, Ref. 25 looked at the cardioprotective possibilities of green-tea extracts, while Ref. 26 turned to ‘myricetin’ and ‘delphinidin’, which I assume (on the basis of the names) are to be extracted from whales and dolphins respectively.
In Figure 2(g) of Ref. 5, the treatment was bromoenol lactone… this produced a different dP function, but the rebound of sP is hard to distinguish from the others.

There appear to be only a few ways that drug treatments can affect the performance of rats’ hearts in a jar. There is the good recovery profile (overlaying urocortin and minocycline to show the identical sP graphs):

The two extreme cases (almost no recovery; total recovery) result from the control treatment, i.e. none at all; and from saturation in urocortin before as well as after ischemia. These feature as Figures 1(a) and (c) of Ref. 24 and again as Figures 7(a) and (c) of Lawrence et al. (2002) (Ref. 27). The corresponding graphs are identical so it may be that both papers plotted the same data.

The situation is confused by the discovery that the panels of Figure 7 also repeat four of the panels from Figure 6 of the same paper, with different labels. An innocent mistake on the authors’ part, which went unnoticed by editors, reviewers and the journal’s readership… thus missing the chance to correct it when the paper was amended in the first wave of errata, to replace a disguised recycled actin blot in Figure 3a.

So we do get “one of those crime-investigation scenes of snapshots pinned to a corkboard and linked together with red string”, after all!

Ref. 3. Scarabelli TM, Stephanou A, Pasini E, Gitti G, Townsend P, Lawrence K, Chen-Scarabelli C, Saravolatz L, Latchman D, Knight R, Gardin J (2004b). “Minocycline inhibits caspase activation and reactivation, increases the ratio of XIAP to smac/DIABLO, and reduces the mitochondrial leakage of cytochrome C and smac/DIABLO“.
Ref. 5. Lawrence KM, Scarabelli TM, Turtle L, Chanalaris A, Townsend PA, Carroll CJ, Hubank M, Stephanou A, Knight RA, Latchman DS (2003). “Urocortin protects cardiac myocytes from ischemia/reperfusion injury by attenuating calcium-insensitive phospholipase A2 gene expression“.
Ref. 24 Scarabelli TM, Evasio Pasini, Anastasis Stephanou, Laura Comini, Salvatore Curello, Riccardo Raddino, Roberto Ferrari, Richard Knight, David S Latchman (2002). “Urocortin promotes hemodynamic and bioenergetic recovery and improves cell survival in the isolated rat heart exposed to ischemia/reperfusion“.
Ref. 25. Townsend PA, Scarabelli TM, Pasini E, Gitti G, Menegazzi M, Suzuki H, Knight RA, Latchman DS, Stephanou A (2004). “Epigallocatechin-3-gallate inhibits STAT-1 activation and protects cardiac myocytes from ischemia/reperfusion-induced apoptosis“.
Ref. 26. Scarabelli TM, Mariotto S, Abdel-Azeim S, Shoji K, Darra E, Stephanou A, Chen-Scarabelli C, Marechal JD, Knight R, Ciampa A, Saravolatz L, de Prati AC, Yuan Z, Cavalieri E, Menegazzi M, Latchman D, Pizza C, Perahia D, Suzuki H (2009). “Targeting STAT1 by myricetin and delphinidin provides efficient protection of the heart from ischemia/reperfusion-induced injury“.
Ref. 27. Lawrence KM, Chanalaris A, Scarabelli T, Hubank M, Pasini E, Townsend PA, Comini L, Ferrari R, Tinker A, Stephanou A, Knight RA, Latchman DS (2002). “K(ATP) channel gene expression is induced by urocortin and mediates its cardioprotective effect“.
Update 12.07.2018. UCL replied to my FOI inquiry about “all donations and other contributions from the Wohl Foundation to UCL and their legal and natural person/entity recipients at UCL, in the last 10 years”:
A1) UCL has had no donations from the Wohl Foundation in the last 10 years. Please note that this relates to all centrally recorded donations received by the Office of the Vice-Provost (Development) (OVPD) which, covers the vast majority of such donations however, some donations might on occasion be received and accepted by departments directly without the knowledge of OVPD.
Update 18.07.2018. Birkbeck now also replied to my inquiry about “all donations and other contributions from the Wohl Foundation to Birkbeck and their legal and natural person/entity recipients at Birkbeck, in the last 10 years”:
“The information that we hold on donations and contributions from the Wohl foundation over the last ten years is as follows:
£950,000 paid in four instalments of £237,500 in October 2009, March 2010, September 2010 and March 2011. This was a contribution to the refurbishment of molecular biology research laboratories at Birkbeck (see http://www.bbk.ac.uk/biology/our-research/research-facilities)
£4,020 paid in two instalments in 2013-14 and 2014-15, This was a contribution to a PhD scholarship in the Pears Institute for the study of antisemitism at Birkbeck http://www.pearsinstitute.bbk.ac.uk/
£1,300,000 contribution to the construction of the Toddlerlab research facility at Birkbeck (see http://www.bbk.ac.uk/news/a33.7m-wohl-wolfson-toddlerlab-to-advance-leading-autism-research.) This contribution is pledged but not yet claimed or paid because the construction work started very recently this summer. The same single commitment, adjusted to reflect accounting treatment, has appeared in the Wohl foundation accounts for the financial years 2013-14, 2014-15 and 2015-16″.

Donate!
If you are interested to support my work, you can leave here a small tip of $5. Or several of small tips, just increase the amount as you like (2x=€10; 5x=€25). Your generous patronage of my journalism will be most appreciated!
€5.00


http://www.wohl.org.uk/our-approach/grantmaking/
“The Wohl Legacy does not accept unsolicited applications for funding. The Foundations have a full-time staff working with the trustees to identify suitable projects. The trustees operate on the basis of a policy of unanimous decision-making.”
http://opencharities.org/charities/244519
Trustees
MRS ELLA LATCHMAN, MR MARTIN PAISNER CBE, PROF DAVID LATCHMAN, SIR IAN GAINSFORD, MR DANIEL ISAAC DOVER BA (HONS) FCA
LikeLike
A colleague referred me to your blog. I am a postdoc at UCL. I came here because it is one of the world’s leading research institutions. I cannot believe what I read. This is a devastating story. I am so sad that UCL’s integrity has been bought and sold by Prof Latchman.
LikeLike
The funny thing is that I came across David Latchman as a co-author on publications from the MRC toxicology unit in Leicester. Sometimes small things, but just enough to make me look at David Latchman in his own right.
http://mcb.asm.org/content/24/24/10593.long
doi: 10.1128/MCB.24.24.10593-10610.2004
Mol. Cell. Biol. December 2004 vol. 24 no. 24 10593-10610
PIAS-1 Is a Checkpoint Regulator Which Affects Exit from G1 and G2 by Sumoylation of p73
Eliana Munarriz1, Daniela Barcaroli1, Anastasis Stephanou2, Paul A. Townsend2, Carine Maisse3, Alessandro Terrinoni3, Michael H. Neale1, Seamus J. Martin4, David S. Latchman2, Richard A. Knight5, Gerry Melino1,3 and Vincenzo De Laurenzi1,3,*
Author Affiliations
3Biochemistry Laboratory, IDI-IRCCS, c/o Department of Experimental Medicine and Biochemical Sciences, University of Rome “Tor Vergata,” Rome, Italy
1Toxicology Unit, Medical Research Council, Leicester University, Leicester
2Medical Molecular Biology Unit, Institute of Child Health, University College London
5Department of Cystic Fibrosis, National Heart and Lung Institute, London, United Kingdom
4Molecular Cell Biology Laboratory, Department of Genetics, The Smurfit Institute, Trinity College, Dublin, Ireland
https://pubpeer.com/publications/7488A57682BDE767B66F9DF941211D
Cell Cycle 7:9, 1214-1223; 1 May 2008
PMID: 18418051 DOI: 10.4161/cc.7.9.5777
p73-mediated transcriptional activity is negatively regulated by polo-like kinase 1
Surinder M. Soond,1,* Sean P. Barry,1 Gerry Melino,2 Richard A. Knight,1 David S. Latchman1 and Anastasis Stephanou1
1Medical Molecular Biology Unit; Institute of Child Health; University College London; London, United Kingdom; 2MRC Toxicology Unit; Hodgkin Building; University of Leicester; Leicester, United Kingdom.
https://pubpeer.com/publications/727274DA2F30AD0B5BBDBE787ACC92
What is more worrying is the problematic publications of the director of the MRC toxiccology uni, Leicester, U.K., who has been awarded a CBE since the time of these publications.
http://tox.mrc.ac.uk/2017/01/unit-director-anne-willis-awarded-an-obe/
An example.
doi: 10.1101/gad.516509
Genes & Dev. 2009. 23: 1207-1220
Translational reprogramming following UVB irradiation is mediated by DNA-PKcs and allows selective recruitment to the polysomes of mRNAs encoding DNA repair enzymes
Ian R. Powley1,7, Alexander Kondrashov1,7, Lucy A. Young1, Helen C. Dobbyn1, Kirsti Hill1, Ian G. Cannell1, Mark Stoneley1, Yi-Wen Kong1, Julia A. Cotes2, Graeme C.M. Smith3, Ron Wek4, Christopher Hayes5, Timothy W. Gant6, Keith A. Spriggs1, Martin Bushell1 and Anne E. Willis1,8
Author Affiliations
1Centre for Biomolecular Sciences, School of Pharmacy, University of Nottingham, University Park, Nottingham NG7 2RD, United Kingdom;
2Wellcome Trust/CRUK Gurdon Institute, Cambridge CB2 1QN, United Kingdom;
3KUDOS pharmaceuticals, Cambridge CB4 0WG, United Kingdom;
4Department of Biochemistry and Molecular Biology, Indiana University School of Medicine, Indianapolis, Indiana 46202, USA;
5School of Chemistry, University of Nottingham, University Park, Nottingham NG7 2RD, United Kingdom;
6MRC Centre for Mechanisms in Human Toxicity, Leicester LE1 9HN, United Kingdom.
Figure 2A.
Figues 1C, 2B ii, and Supplementary 1c.
LikeLike
http://www.mrc-tox.cam.ac.uk/
Awarded OBE, not CBE.
Anne Willis has a problematic publications with Kenneth Siddle, Vice-Master, Churchill College, Cambridge .
https://www.chu.cam.ac.uk/people/view/ken-siddle/
https://pubpeer.com/publications/7D2A6E7510046A12DF9444C3974BF5
Figure 4Bii, which NAR refusues to correct.
LikeLike
In that 2004 Mol.Cell.Biol. paper you mentioned (Munarriz et al.), the top panel of Figure 3A is just weird.

LikeLike
It’s not even the weirdest part of Figures 2 and 3.
LikeLike
You recounted some surprising images from Powley et al. (2009), from Willis’ team. https://pubpeer.com/publications/DC4763FA02B946FB7E468CBACAA0D9
That paper may reward further attention – especially Figure 2.



LikeLike
Reply to Smut Clyde July 10, 2018 at 21:06
That is an impressive analysis Powley et al. (2009), from Willis’ team (Genes & Dev. 2009. 23: 1207-1220)!
4 and 5 years ago people were discussing papers from the MRC toxicology unit, Leicester (now transferred to the University of Cambridge).
http://www.mrc-tox.cam.ac.uk/
“Professor Anne Willis OBE, Unit Director, is pleased to announce that the MRC Toxicology Unit has successfully transferred to the University of Cambridge as an MRC University Unit. The transfer took place on 1 March 2018. The Unit will still be known as the Medical Research Council Toxicology Unit and will still be based at the Hodgkin Building in Leicester. It is anticipated that the unit will move to Cambridge in 2020.”
https://pubpeer.com/publications/DC4763FA02B946FB7E468CBACAA0D9
https://pubpeer.com/publications/B619088AB412E4B323ADEDAE286F6E
https://pubpeer.com/publications/7D2A6E7510046A12DF9444C3974BF5
https://pubpeer.com/publications/DF38BCCD8F6B4A7908450F9032EB4F
https://pubpeer.com/publications/095D933A79348FD1D3983C75FA67C5
https://pubpeer.com/publications/EAB853EFA35113818EC7EAD44297CA
https://pubpeer.com/publications/C2FC6F43E16797BFAA4330B4850D83
Gerry Melino, group leader at the MRC toxicology was familiar. On looking through his publications
the name DS Latchman kept cropping up, with RA Knight, who had been at UCL, but then moved to the MRC toxicology unit.
http://www.mrc-tox.cam.ac.uk/staff/richard-knight/
“Honorary Senior Lecturer in the Medical Molecular Biology Unit, Institute of Child Health, University College London, and member of the Apoptosis and Cancer Laboratory, Medical Research Council Toxicology Unit, Leicester, UK.”
My hunch was to look at papers by DS Latchman and RA Knight.
DS Latchman and RA Knight are now on 5 retractions together.
ERK and the F-box protein betaTRCP target STAT1 for degradation.
Soond SM, Townsend PA, Barry SP, Knight RA, Latchman DS, Stephanou A.
J Biol Chem. 2008 Jun 6;283(23):16077-83. doi: 10.1074/jbc.M800384200. Epub 2008 Mar 31. Retraction in: J Biol Chem. 2018 Mar 30;293(13):4954.
PMID: 18378670
STAT-1 facilitates the ATM activated checkpoint pathway following DNA damage.
Townsend PA, Cragg MS, Davidson SM, McCormick J, Barry S, Lawrence KM, Knight RA, Hubank M, Chen PL, Latchman DS, Stephanou A.
J Cell Sci. 2005 Apr 15;118(Pt 8):1629-39. Epub 2005 Mar 22. Retraction in: J Cell Sci. 2015 Mar 1;128(5):1064.
PMID: 15784679
Antiapoptotic activity of the free caspase recruitment domain of procaspase-9: a novel endogenous rescue pathway in cell death.
Stephanou A, Scarabelli TM, Knight RA, Latchman DS.
J Biol Chem. 2002 Apr 19;277(16):13693-9. Epub 2002 Feb 1. Retraction in: J Biol Chem. 2015 Jan 16;290(3):1454.
PMID: 11825888
FEBS Lett. 2008 Mar 19;582(6):984-90. doi: 10.1016/j.febslet.2008.02.035. Epub 2008 Feb 22.
Cardiac release of urocortin precedes the occurrence of irreversible myocardial damage in the rat heart exposed to ischemia/reperfusion injury.
Knight RA1, Chen-Scarabelli C, Yuan Z, McCauley RB, Di Rezze J, Scarabelli GM, Townsend PA, Latchman D, Saravolatz L, Faggian G, Mazzucco A, Chowdrey HS, Stephanou A, Scarabelli TM.
2018 Retraction. https://febs.onlinelibrary.wiley.com/doi/abs/10.1002/1873-3468.13014
FEBS Letters, Volume 582, Issue 6, Pages 984–990
DOI: 10.1016/j.febslet.2008.02.035
The above article from FEBS Letters, published online on February 22, 2008 in Wiley Online Library (http://wileyonlinelibrary.com),
has been withdrawn by agreement between the authors, the Journal Managing Editor Felix Wieland, and John Wiley & Sons Ltd.,
on behalf of the Federation of European Biochemical Societies.
The retraction has been agreed following an initial investigation from the University College London that
found clear signs of manipulation in Figures 1, 3, and 5.
A subsequent investigation by the journal’s Editorial Office with the assistance of an image integrity analyst corroborated these findings.
https://www.fasebj.org/doi/pdf/10.1096/fj.02-0150fjeRET
2018 Retraction
The article“The carboxyl-terminal activation domain of the STAT-1 transcription factor enhances ischemia/reperfusion induced apoptosis in cardiac myocytes,
”by Anastasis Stephanou,Tiziano M.Scarabelli, Paul A.Townsend, Robert Bell, Derek Yellon, Richard A. Knight, and David S. Latchman,
published in print as an FJ Express summary in FASEB J. November 2002 16:1841–1843 (https://doi.org/10.1096/fj.02-0150fje),
and as a full-length article online at http:// http://www.fasebj.org/doi/pdf/10.1096/fj.02-0150fje,
has been retracted due to a finding of misconduct made by the University College London.
According to the institution,“the lower left-hand image in Figure 5C(labelled STAT-11/1I/R)
partially duplicated the upper right-hand image abelled STAT-12/2 Control,with additional features(such as nuclei) either added or removed . . .
The panel conducting the investigation found that such manipulation had occurred, concluding that research misconduct had taken place.”
LikeLike
Identification of Internal Ribosome Entry Segment (IRES)-trans-Acting Factors for the Myc Family of IRESs
Molecular and Cellular Biology (2008) – 8 Comments
pubmed: 17967896 doi: 10.1128/MCB.01298-07 issn: 1098-5549 issn: 0270-7306
Laura C. Cobbold1,†, Keith A. Spriggs1,†, Stephen J. Haines1, Helen C. Dobbyn1, Christopher Hayes2, Cornelia H. de Moor1, Kathryn S. Lilley3, Martin Bushell1 and Anne E. Willis1,*
Author Affiliations
1Centre for Biomolecular Sciences, University of Nottingham, University Park, Nottingham NG7 2RD, United Kingdom
2School of Chemistry, University of Nottingham, University Park, Nottingham NG7 2RD, United Kingdom
3Cambridge Systems Biology Centre, University of Cambridge, Tennis Court Rd., Cambridge CB2 1GA, United Kingdom
https://pubpeer.com/publications/095D933A79348FD1D3983C75FA67C5
Figure 5.
LikeLike
http://tox.mrc.ac.uk/staff/dr-martin-bushell/
Professor Martin Bushell
Deputy Director and MRC Senior Fellow
Selected Publications
Bushell M, Wood W, Carpenter G, Pain VM, Morley SJ, Clemens MJ. Disruption of the interaction of mammalian protein synthesis eukaryotic initiation factor 4B with the poly(A)-binding protein by caspase- and viral protease-mediated cleavages. J Biol Chem. 2001 276:23922-8.
https://pubpeer.com/publications/7FB269E1C7F53ED9093676859657A0
Figure 2C.
https://imgur.com/HcoIH8J
LikeLike
Other David Lachtman exist in other wealthy and renowned universities of the world. It is not a unique case
LikeLike
That is likely, but could you give some examples?
LikeLike
Easy…just follow the track of the money…
LikeLike
The donations from the Wohl Foundation to Birkbeck College has stuffed its mouth, and the University of London’s (of which it is part), mouth with gold. UCL is also part of the University of London.
How can you reasonably expect an unbiased investigation by UCL?
LikeLike
Hats off to Glasgow University!
UCL should stop trying to be “the research powerhouse” and take a look to the north.
LikeLike
Beyond belief:
https://www.the-scientist.com/news-opinion/university-college-london-geneticist-cleared-of-wrongdoing-65173/amp
The latest whitewash from UCL, it is critical for the integrity of UK science that this farce be made public in its entirety. Money talks, again!
LikeLike
Clearly Birkbeck College completely condones Latchman’s research misconduct and scientific fraud otherwise he would have been sacked as soon as they saw these confidential reports.
https://www.google.co.uk/url?sa=i&source=web&cd=&ved=2ahUKEwjb6YWtx5TjAhV57OAKHSwXB6UQzPwBegQIARAB&url=https%3A%2F%2Fwww.theguardian.com%2Fscience%2F2019%2Fjul%2F01%2Fresearch-misconduct-claim-upheld-against-former-head-of-ucl-lab&psig=AOvVaw18rlUuo6DMlD51MHiuN1kP&ust=1562099259613901
LikeLike
Pingback: The return of David Latchman Show – For Better Science
Pingback: David Latchman, uncensored – For Better Science
We three Kings of Orient are!
Hats off to the high standards at the Maurice Wohl Clinical Neuroscience Institute, King’s College, London.
PLoS One. 2018 May 22;13(5):e0196528. doi: 10.1371/journal.pone.0196528. eCollection 2018.
TDP-43 Causes Neurotoxicity and Cytoskeletal Dysfunction in Primary Cortical Neurons
Pranetha Baskaran 1, Christopher Shaw 2, Sarah Guthrie 1
Affiliations collapse
Affiliations
1Department of Developmental Neurobiology, King’s College, Guy’s Campus, London, United Kingdom.
2Maurice Wohl Clinical Neuroscience Institute, King’s College, London, United Kingdom.
Figure 4A.
https://pubpeer.com/publications/043CD581FC7EE5FCB7B67E52F8E3A9#1
Figure 4B.
https://pubpeer.com/publications/043CD581FC7EE5FCB7B67E52F8E3A9#2
Figure 4C.
https://pubpeer.com/publications/043CD581FC7EE5FCB7B67E52F8E3A9#3
Figure 4D.
https://pubpeer.com/publications/043CD581FC7EE5FCB7B67E52F8E3A9#4
LikeLike
PLoS One. 2018 May 22;13(5):e0196528.
Figure 4B continued.
https://imgur.com/PCQZXwc
https://pubpeer.com/publications/043CD581FC7EE5FCB7B67E52F8E3A9#5
LikeLike